اوجد قاعدة النمط
|
|
|
|
|||
| الشكل الثالث | الشكل الثاني | الشكل الأول | |||
| عدد الطاولات | 7 | عدد الطاولات | 4 | عدد الطاولات | 1 |
| عدد الكراسي | 30 | عدد الكراسي | 18 | عدد الكراسي | 6 |
كم عدد الطاولات في الشكل العاشر ؟
كم مجموع الطاولات في الثلاثة أشكال الأولى؟
=========================================================
كم عدد الكراسي في الشكل العاشر ؟
كم مجموع عدد الكراسي في ن شكل الأولى ؟
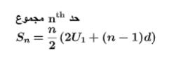
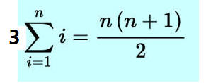
حسب قانون المتتاليات الحسابة

تبسيط الطرف الأيمن

|
|
|
|
|||
| الشكل الثالث | الشكل الثاني | الشكل الأول | |||
| عدد الطاولات | 7 | عدد الطاولات | 4 | عدد الطاولات | 1 |
| عدد الكراسي | 30 | عدد الكراسي | 18 | عدد الكراسي | 6 |
ويمكن بناء جدول وحساب الفرق بين حدين متتالين واكتشاف قاعدة النمط
| الشكل | عدد الطاولات | الفرق |
| 1 | 1 | 3 |
| 2 | 4 | 3 |
| 3 | 7 | 3 |
| 4 | 10 | 3 |
| 5 | 12 | 3 |
| ن | 3ن - 2 | 3 |
| 10 | 30-2 |
لحساب عدد الطاولات في الشكل الثالث ؟

الحد الأول 1 طاولة
d=3
الفرق 3
الحد النوني لعدد الطاولات هو

3n - 2
3ن - 2
عدد طاولات الشكل الثالث = 7
|
|
|
| الشكل الثالث | |
| عدد الطاولات | 7 |
| عدد الكراسي | 30 |

==================
كم مجموع الطاولات في ن شكل من الاشكال الأولى؟
========================================
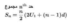
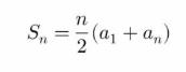
لحساب مجموع عدد الطاولات في ن شكل من الاشكال الأولى ؟
نحسب مجموع عددالطاولات
وفق قانون المجموع



حيث a1 = الحد الأول

الحد النوني لعدد الطاولات هو

3n - 2
3ن - 2


أو

| الشكل الثالث | الشكل الثاني | الشكل الأول | |||
| عدد الطاولات | 7 | عدد الطاولات | 4 | عدد الطاولات | 1 |
مجموع عدد الطاولاات في الثلاثة أشكال الأولى= 12 طاولة
بالتعويض في قاعدة مجموع عدد الطاولات في عدد من الأشكال

n=1
a1=1
12 طاولة

===================================================
طريقة مجموع الحد النوني
قانون مجموع الأعداد

قانون مجموع الأعداد المتتالية

مجموع الحدود الثلاثة الأولى
الحد النوني
3ن - 2
3n-2

ناقص

=
18
نااقص
= 6
يساوي
12 طاولة
الثلاثة أشكال الأولى مجموع الطاولات =12
================================================================
لحساب عدد الكراسي في الشكل العاشر ؟
نبني جدول يربط بين رقم الشكل وعدد الكراسي في ذلك الشكل
| الشكل | الكراسي | الفرق |
| 1 | 6 | 12 |
| 2 | 18 | 12 |
| 3 | 30 | 12 |
| 4 | 42 | 12 |
| 10 | 12 ن - 6 | 12 ن - 6 |
الحد الأول 6 كراسي
الفرق 12
حسب قانون المتتاليات الحسابة

تبسيط الطرف الأيمن

الحد النوني لعدد الكراسي


عدد الكراسي في الشكل ن = 12 ن - 6
=======================================================================================
لحساب مجموع عدد االكراسي في ن شكل الأولى ؟
نحسب مجموع الحد العام لعدد الكراسي
حسب قانون المجموع

حيث a1 = الحد الأول

نبني الجدول
| الشكل | الكراسي | الفرق |
| 1 | 6 | 12 |
| 2 | 18 | 12 |
| 3 | 30 | 12 |
| 4 | 42 | 12 |
| 10 | 12 ن - 6 | 12 ن - 6 |

نحسب مجموع هذا المقدار
| الشكل | الكراسي | قاعدة مجموع الكراسي |
| 1 | 6 | 6 |
| 2 | 18 | 24 |
| 3 | 30 | 54 |
| 4 | 42 | 96 |
| 10 | 12 ن - 6 | ؟؟؟؟؟ |

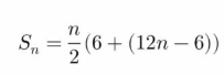
قانون المجموع

الحد الأول هو 6
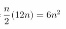
نعوض في المعادلة فنحصل على

وتساوي

مجموع عدد الكراسي في العشر الأشكال الأولى
n=10
600
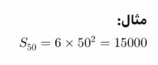
مجموع عدد الكراسي في الخمسين شكل الأولى

+++++++++++++++++++++++++++++++++++++++
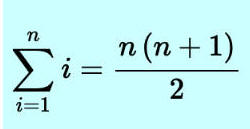
المجموع بقانون مجموع الحدود المتتالية
مج ن = نصف ن(ن+1)
الحد النوني

مجموع العشرة أشكال الأولى يساوي
12 ( مجموع n6 - ( n

+++++++++++++++++++++++++++++++++++++++++++
المتتاليات عربي
https://aghandoura.com/SITE/TABLE/geogebra-export.html
المتتاليات 2
https://aghandoura.com/SITE/TABLE/SEQ2.html
أنشطة مماثلة
| الشكل الثالث | الشكل الثاني | الشكل الأول | |||
![]() |
![]() |
![]() |
|||
| عدد الطاولات | 10 | عدد الطاولات | 7 | عدد الطاولات | 4 |
| عدد الكراسي | عدد الكراسي | عدد الكراسي | |||
عدد الكراسي في شكل محدد

==============================================================
