الرياضيات

الصف الأول ثانوي ( الفصل الدراسي الثاني )

الفصل الثامن : الدائرة

الدرس السابع : قطع مستقيمة خاصة في الدائرة

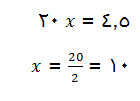
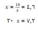
تدريب ( 1 )

 

 

 

 

 

 
 
 
 
 
 
 
 
 
 
 
 
 
 
 

الحل :

 

 

 

 

 

 

 

 
 
 
 
 
 
 

اوجد قيمة x في كل مما يأتي مقربة إلى اقرب جزء من عشرة مفترضاً ان القطع المستقيمة التي تبدو  كأنها مماسات هي مماسات فعلاً :